
普菲德生物专业研发生产定制山楂酸,4373-41-5,Maslinic acid。工作对照品标准品,现货供应,质量保证,库存品种高达二千余种,规格可按照要求定制,欢迎新老顾客前来订购

普菲德生物国内优质标准物质网,专业研发生产销售白头翁皂苷A3,129724-84-1,Anemoside A3。工作对照品,标准品,品种齐全,质量保证,价格优惠,HPLC98%,欢迎新老顾客致电咨询!

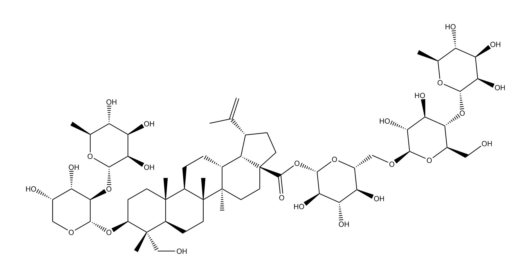
白头翁皂苷B4,129741-57-7,Anemoside B4。【普菲德】专业生产高纯度工作对照品,标准品,高端技术支持,精密仪器检测,质量保障,提供定制研发服务,产品质量有问题支持无条件退换,

[普菲德]为您提供刺囊酸,510-30-5,Echinocystic acid。专注研发工作对照品标准品,自主品牌,品质优良。专业的售后的服务团队,是您值得信赖的合作伙伴。全国免费快递发货,长期提供

普菲德-常年研发生产销售中检所自制工作对照品,标准品,常春藤苷C,14216-03-6,Hederacoside C。价格优惠,库存充足,HPLC98%,保证售后服务。全国免费快递发货,安全,快捷,承诺一致