
苦玄参苷IV,184288-35-5,Picfeltarraenin IV。[普菲德]致力于研发高品质中药对照品,标准品,专注于天然植物分离提纯,雄厚的技术实力,精密的仪器检测,产品质量保障,同时提供完善的

[普菲德]为您提供苦玄参苷IA,97230-47-2,Picfeltarraenin IA。专注研发工作对照品、标准品,自主品牌,品质优良。专业的售后的服务团队,是您值得信赖的合作伙伴。全国免费快递发货,长

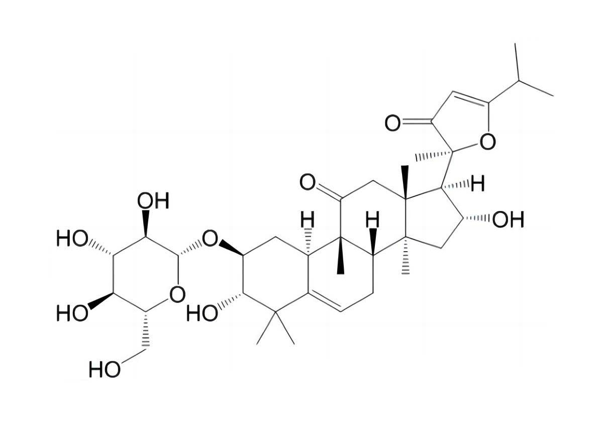
苦玄参苷IB,97230-46-1,Picfeltarraenin IB。[普菲德]致力于研发高品质中药对照品,标准品,专注于天然植物分离提纯,雄厚的技术实力,精密的仪器检测,产品质量保障,同时提供完善的售

苦玄参苷X,1391826-61-1,Picfeltarraenin X。[普菲德]致力于研发高品质中药对照品,标准品,专注于天然植物分离提纯,雄厚的技术实力,精密的仪器检测,产品质量保障,同时提供完善的售

瓜子金皂苷XXXI,79103-90-5,Polygalasaponin XXXI。[普菲德]致力于研发高品质中药对照品,标准品,专注于天然植物分离提纯,雄厚的技术实力,精密的仪器检测,产品质量保障,同时提供完