
大黄酚,481-74-3,Chrysophanol。[普菲德]致力于研发高品质中药对照品,标准品,专注于天然植物分离提纯,雄厚的技术实力,精密的仪器检测,产品质量保障,同时提供完善的售后服务,

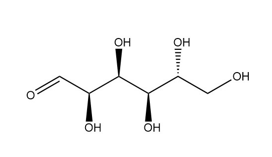
普菲德生物国内优质标准物质网,专业研发生产销售D(+)-无水葡萄糖,50-99-7,D(+)-Glucose。工作对照品,标准品,品种齐全,质量保证,价格优惠,HPLC98%,欢迎新老顾客致电咨询!

银杏内酯A,15291-75-5,Ginkgolide A。【普菲德】专业生产高纯度工作对照品,标准品,高端技术支持,精密仪器检测,质量保障,提供定制研发服务,产品质量有问题支持无条件退换,欢迎

普菲德生物专业研发生产定制银杏内酯B,15291-77-7,Ginkgolide B。工作对照品标准品,现货供应,质量保证,库存品种高达二千余种,规格可按照要求定制,欢迎新老顾客前来订购

银杏内酯C,15291-76-6,Ginkgolide C。【普菲德】专业生产高纯度工作对照品,标准品,高端技术支持,精密仪器检测,质量保障,提供定制研发服务,产品质量有问题支持无条件退换,欢迎