全国咨询热线:028-82610909
当前位置: 主页 > 产品中心 > 化合物单体

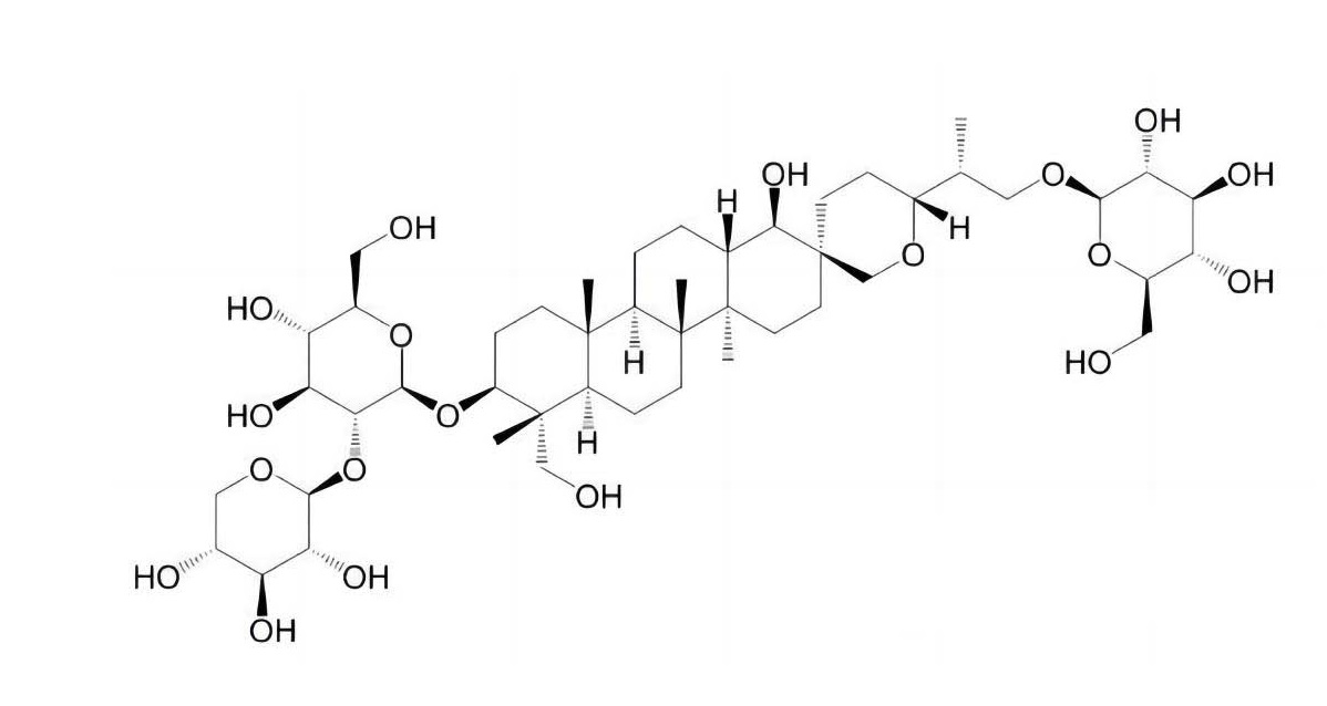
凤仙萜四醇苷F|160896-45-7

  • 【产品别名】凤仙萜四醇皂苷F
  • 【英文名】Hosenkoside F
  • 【分子式】C47H80O19
  • 【分子量】949.138
  • 【性状】白色粉末
  • 【化合物类型】三萜
  • 【来源】急性子
  • 【贮藏条件】2-8°C,密封避光、低温下保存
  • 【溶解性】可溶于甲醇、DMSO、吡啶
品牌规格
货号品牌纯度价格规格库存
JOT-11538普菲德HPLC≥98%160020mg点击咨询
JOT-11538普菲德HPLC≥98%电议50mg点击咨询
产品介绍

【产品名称】 凤仙萜四醇苷F

【英文别称】 Synonyms: (+)-Hosenkoside F

【CAS号】  160896-45-7

【检测方式】高效液相色谱法HPLC≥98%

【规格】5mg 10mg  20mg  50mg  100mg  500mg  1g   (可根据客户需求包装)

【鉴定方法】液相(HPLC)质谱(Mass) 核磁(NMR)    

【密度】 1.43g/cm3

【沸点】 1045.1ºC at 760 mmHg

【用法】色谱条件:以乙腈-水(20: 80) 为流动相;流速为 1.0mL/min; 蒸发光检测器检测。(仅供参考)

【作用与用途】本品用于含量测定、鉴别、药理实验、活性筛选等

【注意事项】  本品应在低温下保存,长时间在暴露在空气中,含量会有所降低

【生产单位】  成都普菲德生物技术有限公司

【质量承诺】  非人为造成的产品质量问题,我司负责退货或者换货(非购买方人为造成)

【温馨提醒】  我司提供一切产品仅供科研、实验室使用,不得用于注射、食用或其他用途


  • 相关产品
  • 相关专题
  • 相关文献

    [1]. Yu X, et al. An LC-MS/MS method for simultaneous determination of hosenkoside A and hosenkoside K from Semen Impatientis in rat plasma and its application to a pharmacokinetic study. Biomed Chromatogr. 2017 Mar;31(3).

在线客服
联系方式

热线电话

028-82610909

上班时间

周一到周五

公司电话

028-82610909

二维码
线