全国咨询热线:028-82610909
当前位置: 主页 > 产品中心 > 化合物单体

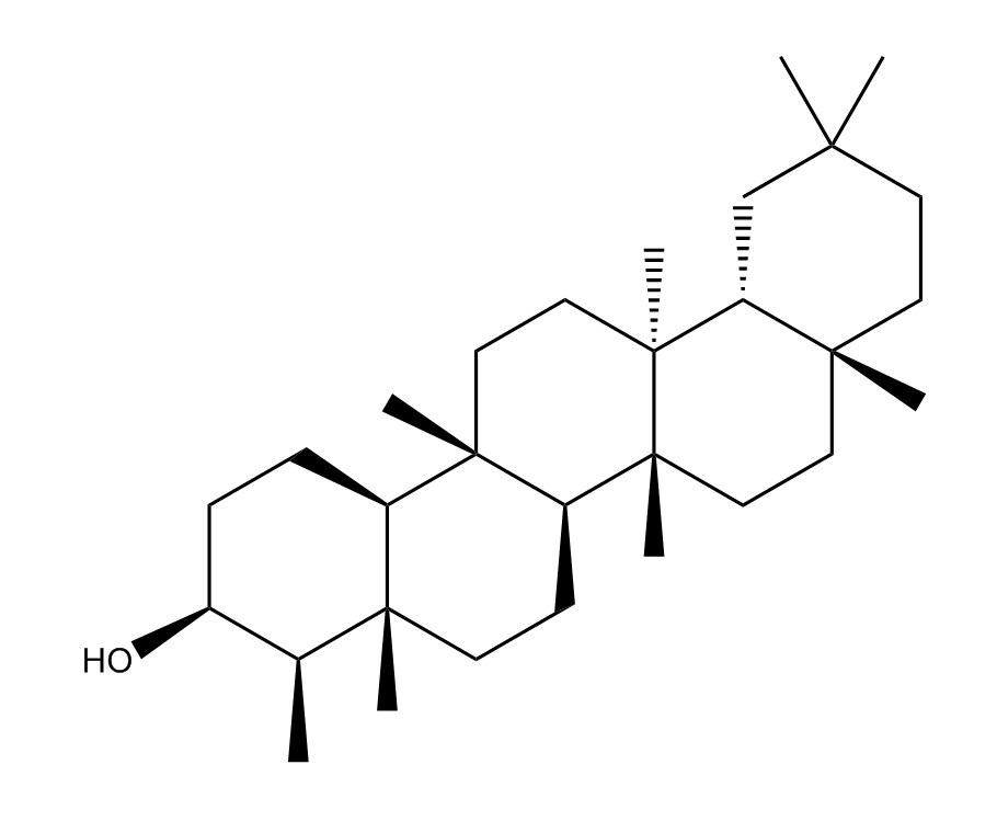
表木栓醇|16844-71-6

  • 【产品别名】表木栓醇对照品
  • 【英文名】Epifriedelanol
  • 【分子式】C30H52O
  • 【分子量】428.733
  • 【性状】白色粉末
  • 【化合物类型】生物碱
  • 【来源】卫矛、雷丸、紫菀、南沙参
  • 【贮藏条件】2-8°C,置阴凉干燥处、避光保存
  • 【溶解性】可溶于甲醇、氯仿、DMSO
品牌规格
货号品牌纯度价格规格库存
JOT-11301普菲德HPLC≥98%电议10mg点击咨询
JOT-11301普菲德HPLC≥98%电议20mg点击咨询
产品介绍

【产品名称】 表木栓醇

【英文别称】 FRIEDELAN-3BETA-OL

【CAS号】  16844-71-6

【检测方式】高效液相色谱法HPLC≥98%

【规格】5mg 10mg  20mg  50mg  100mg  500mg  1g   (可根据客户需求包装)

【鉴定方法】液相(HPLC)质谱(Mass) 核磁(NMR)

【密度】 0.966g/cm3

【沸点】 478.3ºC at 760 mmHg

【熔点】 279-283℃

【用法】色谱条件:以甲醇-水为流动相, 进行梯度洗脱; 检测波长: 235nm。(仅供参考)

【药理药效】  表木栓醇具有润肺下气、 消痰止咳的作用

【作用与用途】本品用于含量测定、鉴别、药理实验、活性筛选等

【注意事项】  本品应在低温下保存,长时间在暴露在空气中,含量会有所降低

【生产单位】  成都普菲德生物技术有限公司

【质量承诺】  非人为造成的产品质量问题,我司负责退货或者换货(非购买方人为造成)

【温馨提醒】  我司提供一切产品仅供科研、实验室使用,不得用于注射、食用或其他用途


  • 相关产品
  • 相关专题
  • 相关文献

    [1]. Kundu JK, et al. Antitumor activity of epifriedelanol from Vitis trifolia. Fitoterapia. 2000 Sep;71(5):577-9.


    [2]. Yang HH, et al. Epifriedelanol from the root bark of Ulmus davidiana inhibits cellular senescence in human primary cells. Planta Med. 2011 Mar;77(5):441-9.


在线客服
联系方式

热线电话

028-82610909

上班时间

周一到周五

公司电话

028-82610909

二维码
线