全国咨询热线:028-82610909
当前位置: 主页 > 产品中心 > 化合物单体

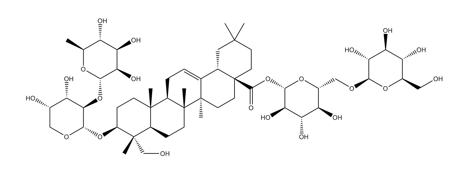
川续断皂苷乙|33289-85-9

  • 【产品别名】川续断皂苷 B
  • 【英文名】Dipsacoside B
  • 【分子式】C53H86O22
  • 【分子量】1075.25
  • 【性状】白色粉末
  • 【化合物类型】三萜
  • 【来源】川续断
  • 【贮藏条件】2-8°C,密封避光、低温下保存
  • 【溶解性】可溶于甲醇、乙醇
品牌规格
货号品牌纯度价格规格库存
JOT-10397普菲德HPLC≥98%70020mg点击咨询
JOT-10397普菲德HPLC≥98%电议50mg点击咨询
产品介绍

【产品名称】 川续断皂苷乙

【英文别称】 Glycoside L-G3

【CAS号】  33289-85-9

【检测方式】高效液相色谱法HPLC≥98%

【规格】5mg 10mg  20mg  50mg  100mg  500mg  1g   (可根据客户需求包装)

【鉴定方法】液相(HPLC)质谱(Mass) 核磁(NMR)

【密度】 1.46g/cm3

【用法】色谱条件:乙腈: 水=30:70;ELSD  T=60℃  F=2.5L/min,柱温(Column temperature) : 30℃(仅供参考)

【药理药效】  川续断皂苷乙具有抗骨质疏松、抗骨折的作用

【作用与用途】本品用于含量测定、鉴别、药理实验、活性筛选等

【注意事项】  本品应在低温下保存,长时间在暴露在空气中,含量会有所降低

【生产单位】  成都普菲德生物技术有限公司

【质量承诺】  非人为造成的产品质量问题,我司负责退货或者换货(非购买方人为造成)

【温馨提醒】  我司提供一切产品仅供科研、实验室使用,不得用于注射、食用或其他用途


  • 相关产品
  • 相关专题
  • 相关文献

    [1]. Chen CY, et al. Liquid chromatography-mass spectrometry analysis of macranthoidin B, macranthoidin A, Dipsacoside B, and macranthoside B in rat plasma for the pharmacokinetic investigation. J Chromatogr B Analyt Technol Biomed Life Sci. 2009 Jan 15;877(3):159-65.


    [2]. Zhang X, et al. Rapid quantitative analysis of adulterant Lonicera species in preparations of Lonicerae Japonicae Flos. J Sep Sci. 2015 Dec;38(23):4014-20.


在线客服
联系方式

热线电话

028-82610909

上班时间

周一到周五

公司电话

028-82610909

二维码
线