全国咨询热线:028-82610909
当前位置: 主页 > 产品中心 > 化合物单体

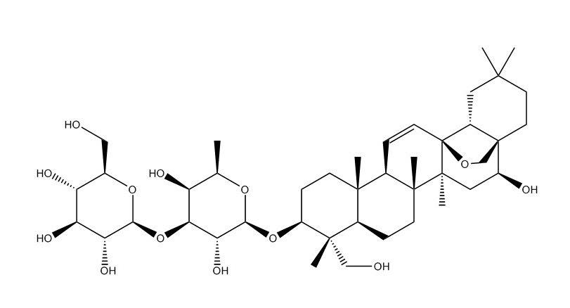
柴胡皂苷A|20736-09-8

  • 【产品别名】柴胡皂甙A
  • 【英文名】Saikosaponin A
  • 【分子式】C42H68O13
  • 【分子量】780.993
  • 【性状】白色粉末
  • 【化合物类型】三萜
  • 【来源】柴胡
  • 【贮藏条件】密封、干燥、冷冻(-20℃)保存
  • 【溶解性】甲醇、乙醇
品牌规格
货号品牌纯度价格规格库存
JOT-10071普菲德HPLC≥98%40020mg点击咨询
JOT-10071普菲德HPLC≥98%电议50mg点击咨询
产品介绍

【产品名称】 柴胡皂苷A

【英文别称】 Thesaikosaponin A

【CAS号】  20736-09-8

【检测方式】高效液相色谱法HPLC≥98%

【规格】5mg 10mg  20mg  50mg  100mg  500mg  1g   (可根据客户需求包装)

【鉴定方法】液相(HPLC)质谱(Mass) 核磁(NMR)

【密度】 1.36g/cm3

【沸点】 893.7ºC at 760 mmHg

【熔点】 225 - 235ºC

【闪点】 494.3ºC

【用法】色谱条件:A Acetonitrile B Water Omin 25%A,50min 90%A;ELSD T=60℃ F=2.5L/min,柱温(Column temperature) : 30℃。(仅供参考)

【药理药效】 柴胡皂苷A具有镇静,抗病毒,免疫调节,保肝护肾及抗肿瘤的作用

【作用与用途】本品用于含量测定、鉴别、药理实验、活性筛选等

【注意事项】  本品应在低温下保存,长时间在暴露在空气中,含量会有所降低

【生产单位】  成都普菲德生物技术有限公司

【质量承诺】  非人为造成的产品质量问题,我司负责退货或者换货(非购买方人为造成)

【温馨提醒】  我司提供一切产品仅供科研、实验室使用,不得用于注射、食用或其他用途


  • 相关产品
  • 相关专题
  • 相关文献

    [1]. Gao H, et al. Saikosaponin A inhibits IL-1β-induced inflammatory mediators in human osteoarthritis chondrocytes by activating LXRα. Oncotarget. 2017 Sep 30;8(51):88941-88950.

在线客服
联系方式

热线电话

028-82610909

上班时间

周一到周五

公司电话

028-82610909

二维码
线