全国咨询热线:028-82610909
当前位置: 主页 > 产品中心 > 化合物单体

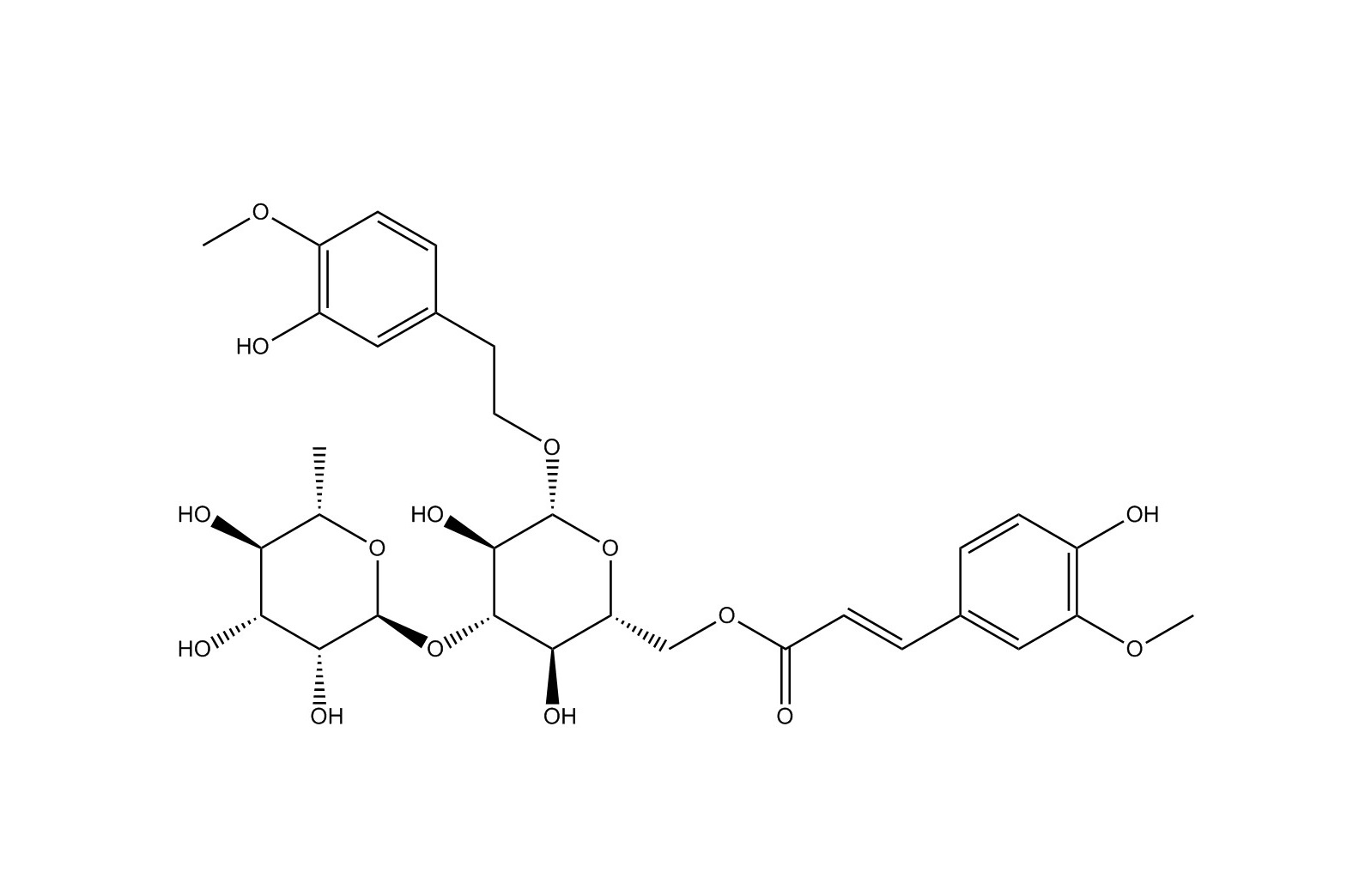
厚朴苷A|113557-95-2

  • 【产品别名】木兰苷A
  • 【英文名】MagnolosideA
  • 【分子式】C29H36O15
  • 【分子量】624.60
  • 【性状】类白色粉末
  • 【化合物类型】苯乙醇苷
  • 【来源】厚朴
  • 【贮藏条件】2-8°C,避光保存、低温下保存
  • 【溶解性】可溶于甲醇、乙醇、DMSO等有机溶剂
品牌规格
货号品牌纯度价格规格库存
JOT-12247普菲德HPLC≥98%电议20mg点击咨询
JOT-12247普菲德HPLC≥98%电议50mg点击咨询
产品介绍

【产品名称】 厚朴苷A

【英文别称】 2-(3,4-Dihydroxyphenyl)ethyl 2-O-(6-deoxy-α-L-mannopyranosyl)-3-O -[(2E)-3-(3,4-dihydroxyphenyl)-2-propenoyl]-β-D-allopyranoside

【CAS号】  113557-95-2

【检测方式】高效液相色谱法HPLC≥98%

【规格】5mg 10mg  20mg  50mg  100mg  500mg  1g   (可根据客户需求包装)

【鉴定方法】液相(HPLC)质谱(Mass) 核磁(NMR)

【作用与用途】本品用于含量测定、鉴别、药理实验、活性筛选等

【密度】1.6±0.1 g/cm3

【沸点】908.8±65.0 °C at 760 mmHg

【闪点】294.7±27.8 °C

【用法】色谱条件:以A Methanol B0.1% Phosphoric acid solution 0min 27%A,19min 27%A, 30min 55%A为流动相;检测波长:330nm,柱温:30℃(仅供参考) 

【注意事项】  本品应在低温下保存,长时间在暴露在空气中,含量会有所降低

【生产单位】  成都普菲德生物技术有限公司

【质量承诺】  非人为造成的产品质量问题,我司负责退货或者换货(非购买方人为造成)

【温馨提醒】  我司提供一切产品仅供科研、实验室使用,不得用于注射、食用或其他用途



在线客服
联系方式

热线电话

028-82610909

上班时间

周一到周五

公司电话

028-82610909

二维码
线