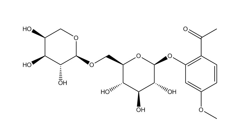
【产品名称】 牡丹酚原苷
【英文别称】 2-Acetyl-5-methoxyphenyl 6-O-(alpha-L-Arabinopyranosyl)-beta-D-glucopyranoside
【CAS号】 72520-92-4
【检测方式】高效液相色谱法HPLC≥98%
【规格】5mg 10mg 20mg 50mg 100mg 500mg 1g (可根据客户需求包装)
【鉴定方法】液相(HPLC)质谱(Mass) 核磁(NMR)
【密度】 1.54g/cm3
【沸点】 749.7ºC at 760mmHg
【闪点】 261.2ºC
【熔点】 197ºC
【作用与用途】 本品用于含量测定、鉴别、药理实验、活性筛选等
【注意事项】 本品应在低温下保存,长时间在暴露在空气中,含量会有所降低
【生产单位】 成都普菲德生物技术有限公司
【质量承诺】 非人为造成的产品质量问题,我司负责退货或者换货(非购买方人为造成)
【温馨提醒】 我司提供一切产品仅供科研、实验室使用,不得用于注射、食用或其他用途
2-羟基肉桂醛|3541-42-2
咖啡酸四聚体异构体|119152-54-4
1-O-(7S,8R)-guaiacylglycerol-(6-O-E-Feruloyl)-b-D-glucopyran
1-(4-羟苄基)-4-甲氧基-9,10-二氢菲-2,7-二醇|87530-26-5
Pubescenoside Q
CropallinA|2142621-02-9
6-羟基-2-(羟基甲基)-2-甲基-2H-萘并[1,2-B]吡喃-5-羧酸甲酯|1357351-29-1
6'-O-没食子酰红景天苷|83013-86-9[1]. Viborg AH, et al. Discovery of α-l-arabinopyranosidases from human gut microbiome expands the diversity within glycoside hydrolase family 42. J Biol Chem. 2017 Dec 22;292(51):21092-21101.