全国咨询热线:028-82610909
当前位置: 主页 > 产品中心 > 化合物单体

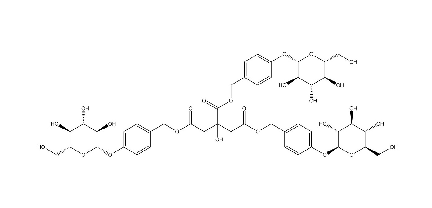
巴利森苷A|62499-28-9

  • 【产品别名】柠檬酸酯A
  • 【英文名】Parishin A
  • 【分子式】C45H56O25
  • 【分子量】996.918
  • 【性状】类白色粉末
  • 【化合物类型】苷类
  • 【来源】天麻
  • 【贮藏条件】2-8°C,避光保存、低温下保存
  • 【溶解性】可溶于甲醇、乙醇、DMSO等有机溶剂
品牌规格
货号品牌纯度价格规格库存
JOT-11204普菲德HPLC≥98%电议10mg点击咨询
JOT-11204普菲德HPLC≥98%90020mg点击咨询
产品介绍

【产品名称】 巴利森苷A

【英文别称】 Citric acid tris(p-β-D-glucopyranosyloxybenzyl) ester

【CAS号】  62499-28-9

【检测方式】高效液相色谱法HPLC≥98%

【规格】5mg 10mg  20mg  50mg  100mg  500mg  1g   (可根据客户需求包装)

【鉴定方法】液相(HPLC)质谱(Mass) 核磁(NMR)

【密度】 1.586g/cm3

【沸点】 1137ºC at 760mmHg

【用法】色谱条件:以乙腈:0.1%磷酸水溶液=15:85为流动相,检测波长为 220nm,柱温:30ºC(仅供参考) 

【药理药效】   巴利森苷A具有增智、健脑、延缓衰老和抗菌的作用

【作用与用途】 本品用于含量测定、鉴别、药理实验、活性筛选等

【注意事项】  本品应在低温下保存,长时间在暴露在空气中,含量会有所降低

【生产单位】  成都普菲德生物技术有限公司

【质量承诺】  非人为造成的产品质量问题,我司负责退货或者换货(非购买方人为造成)

【温馨提醒】  我司提供一切产品仅供科研、实验室使用,不得用于注射、食用或其他用途


  • 相关产品
  • 相关专题
  • 相关文献

    [1]. Lin Y, et al. Parishin from Gastrodia elata Extends the Lifespan of Yeast via Regulation of Sir2/Uth1/TOR Signaling Pathway. Oxid Med Cell Longev. 2016;2016:4074690.

在线客服
联系方式

热线电话

028-82610909

上班时间

周一到周五

公司电话

028-82610909

二维码
线