全国咨询热线:028-82610909
当前位置: 主页 > 产品中心 > 化合物单体

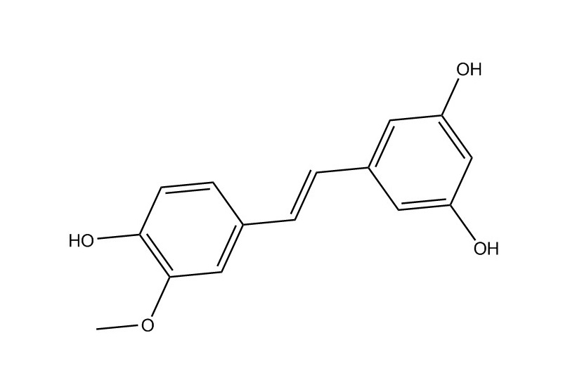
氧化白藜芦醇|29700-22-9

  • 【产品别名】2,4,3',5'-四羟基二苯乙烯
  • 【英文名】Oxyresveratrol
  • 【分子式】C14H12O4
  • 【分子量】244.246
  • 【性状】类白色粉末
  • 【化合物类型】二苯乙烯
  • 【来源】藜芦、桑枝、桑白皮、桑椹、虎杖、白蔹、菝葜、花生
  • 【贮藏条件】2-8°C,避光保存、低温下保存
  • 【溶解性】可溶于甲醇、乙醇、DMSO等有机溶剂
品牌规格
货号品牌纯度价格规格库存
JOT-11234普菲德HPLC≥98%电议10mg点击咨询
JOT-11234普菲德HPLC≥98%20020mg点击咨询
产品介绍

【产品名称】 氧化白藜芦醇

【英文别称】 2,4,3',5'-Tetrahydroxystilbene

【CAS号】  29700-22-9

【检测方式】高效液相色谱法HPLC≥98%

【规格】5mg 10mg  20mg  50mg  100mg  500mg  1g   (可根据客户需求包装)

【鉴定方法】液相(HPLC)质谱(Mass) 核磁(NMR)

【密度】 1.468g/cm3

【沸点】 523.8ºC at 760 mmHg

【闪点】 260.9ºC

【熔点】 201ºC 

【用法】色谱条件:以乙腈: 0.1%磷酸溶液=20:80为流动相;检测波长为 329nm,柱温:30ºC (仅供参考)  

【药理药效】  氧化白藜芦醇具有抗炎、抗血栓、防癌、抗癌、抗高血脂症、抗菌等多方面的活性

【作用与用途】 本品用于含量测定、鉴别、药理实验、活性筛选等

【注意事项】  本品应在低温下保存,长时间在暴露在空气中,含量会有所降低

【生产单位】  成都普菲德生物技术有限公司

【质量承诺】  非人为造成的产品质量问题,我司负责退货或者换货(非购买方人为造成)

【温馨提醒】  我司提供一切产品仅供科研、实验室使用,不得用于注射、食用或其他用途


  • 相关产品
  • 相关专题
  • 相关文献

    [1]. Lorenz. et al. Oxyresveratrol and resveratrol are potent antioxidants and free radical scavengers: Effect on nitrosative and oxidative stress derived from microglial cells. Nitric Oxide 9(2) 64-76 (2003).


    [2]. Kim, Y.M., Yun, J., Lee, C., et al. Oxyresveratrol and hydroxystilbene compounds. Inhbitory effect on tyrosinase and mechanism of action. J Biol Chem277(18) 16340-16344 (2002).


    [3]. Shaida A Andrabi et al. Oxyresveratrol (trans-2,3′,4,5′-tetrahydroxystilbene) is neuroprotective and inhibits the apoptotic cell death in transient cerebral ischemia. Brain Res, 2004 Aug 13, 1017(1-2):98-107.


在线客服
联系方式

热线电话

028-82610909

上班时间

周一到周五

公司电话

028-82610909

二维码
线