全国咨询热线:028-82610909
当前位置: 主页 > 产品中心 > 化合物单体

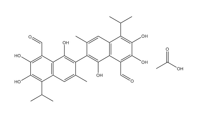
醋酸棉酚|12542-36-8

  • 【产品别名】棉子酚乙酸酯
  • 【英文名】Gossypol-aceticacid
  • 【分子式】C32H34O10
  • 【分子量】578.614
  • 【性状】黄色粉末
  • 【化合物类型】倍半萜
  • 【来源】棉籽
  • 【贮藏条件】-20°C,避光保存、低温下保存
  • 【溶解性】可溶于二氧六环、丙酮、乙酸乙酯、乙醚、氯仿
品牌规格
货号品牌纯度价格规格库存
JOT-10990普菲德HPLC≥98%电议10mg点击咨询
JOT-10990普菲德HPLC≥98%30020mg点击咨询
产品介绍

【产品名称】 醋酸棉酚

【英文别称】 Gossypolaceticacidcomplex

【CAS号】  12542-36-8

【检测方式】高效液相色谱法HPLC≥98%

【规格】5mg 10mg  20mg  50mg  100mg  500mg  1g   (可根据客户需求包装)

【鉴定方法】液相(HPLC)质谱(Mass) 核磁(NMR)

【沸点】 707.9ºC at 760 mmHg

【闪点】 395.9ºC

【熔点】 164-168ºC

【用法】色谱条件:以甲醇:0.1%磷酸溶液=78:22为流动相,检测波长为2357nm,柱温:30ºC(仅供参考)  

【药理药效】  醋酸棉酚在医疗和工业方面有很重要的用途,在男子节育,治疗更年期妇女病,抗结核,抗肿瘤和抗病毒等方面上有一定的功效

【作用与用途】 本品用于含量测定、鉴别、药理实验、活性筛选等

【注意事项】  本品应在低温下保存,长时间在暴露在空气中,含量会有所降低

【生产单位】  成都普菲德生物技术有限公司

【质量承诺】  非人为造成的产品质量问题,我司负责退货或者换货(非购买方人为造成)

【温馨提醒】  我司提供一切产品仅供科研、实验室使用,不得用于注射、食用或其他用途


  • 相关产品
  • 相关专题
  • 相关文献

    [1]. Oliver CL, et al. In vitro effects of the BH3 mimetic, (-)-Gossypol, on head and neck squamous cell carcinoma cells. Clin Cancer Res. 2004 Nov 15;10(22):7757-63.

在线客服
联系方式

热线电话

028-82610909

上班时间

周一到周五

公司电话

028-82610909

二维码
线