全国咨询热线:028-82610909
当前位置: 主页 > 产品中心 > 化合物单体

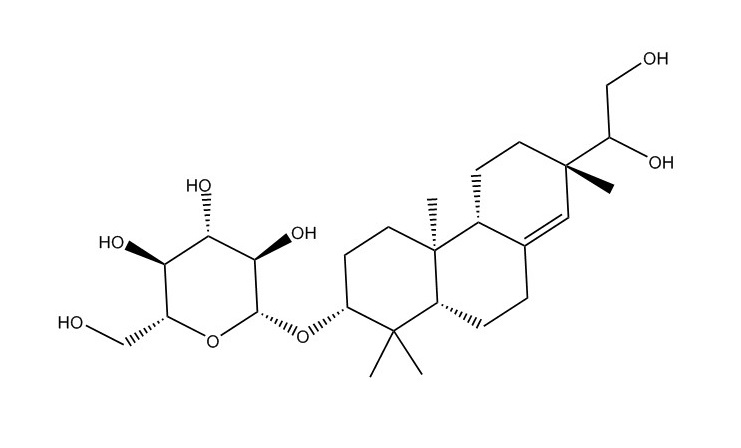
豯莶苷|59219-65-7

  • 【产品别名】豨莶苷;吡喃葡糖苷
  • 【英文名】Darutoside
  • 【分子式】C26H44O8
  • 【分子量】484
  • 【性状】白色粉末
  • 【化合物类型】二萜
  • 【来源】豨莶
  • 【贮藏条件】2-8°C,避光保存、低温下保存
  • 【溶解性】可溶于甲醇、乙醇、DMSO等有机溶剂
品牌规格
货号品牌纯度价格规格库存
JOT-10614普菲德HPLC≥98%电议10mg点击咨询
JOT-10614普菲德HPLC≥98%120020mg点击咨询
产品介绍

【产品名称】 豯莶苷

【英文别称】 Darutoside

【CAS号】  59219-65-7

【检测方式】高效液相色谱法HPLC≥98%

【规格】5mg 10mg  20mg  50mg  100mg  500mg  1g   (可根据客户需求包装)

【鉴定方法】液相(HPLC)质谱(Mass) 核磁(NMR)

【密度】 1.29g/cm3

【沸点】 667ºC at 760mmHg

【熔点】 234ºC

【用法】色谱条件:以甲醇: 0.1%磷酸溶液=59:41为流动相;检测波长 210nm,柱温:30ºC(仅供参考)  

【作用与用途】 本品用于含量测定、鉴别、药理实验、活性筛选等

【注意事项】  本品应在低温下保存,长时间在暴露在空气中,含量会有所降低

【生产单位】  成都普菲德生物技术有限公司

【质量承诺】  非人为造成的产品质量问题,我司负责退货或者换货(非购买方人为造成)

【温馨提醒】  我司提供一切产品仅供科研、实验室使用,不得用于注射、食用或其他用途


  • 相关产品
  • 相关专题
  • 相关文献

    [1]. Kim, J.H. Han, et al. Darutoside, a diterpenoid from Siegesbeckia pubescens and its structure revision. Food and Agriculture Organization of the United Nations. 1979.

在线客服
联系方式

热线电话

028-82610909

上班时间

周一到周五

公司电话

028-82610909

二维码
线