全国咨询热线:028-82610909
当前位置: 主页 > 产品中心 > 化合物单体

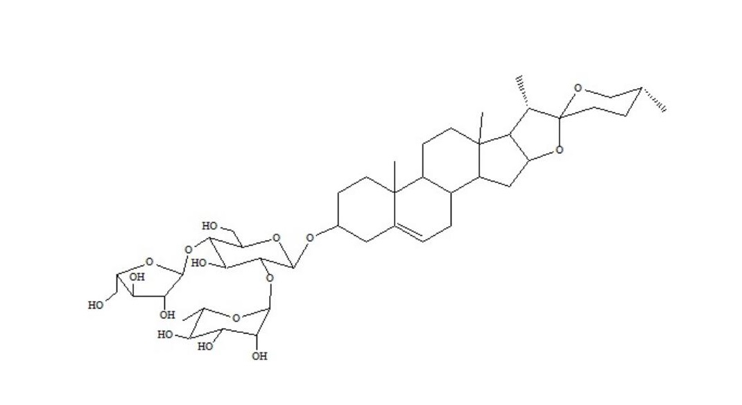
重楼皂苷I|50773-41-6

  • 【产品别名】重楼皂苷A
  • 【英文名】Polyphyllin I
  • 【分子式】C44H70O16
  • 【分子量】855.028
  • 【性状】白色粉末
  • 【化合物类型】甾体
  • 【来源】重楼
  • 【贮藏条件】2-8°C,避光保存、低温下保存
  • 【溶解性】可溶于甲醇、乙醇、DMSO等有机溶剂
品牌规格
货号品牌纯度价格规格库存
JOT-10431普菲德HPLC≥98%电议10mg点击咨询
JOT-10431普菲德HPLC≥98%80020mg点击咨询
产品介绍

【产品名称】 重楼皂苷I

【英文别称】 Polyphyllin A

【CAS号】  50773-41-6

【检测方式】高效液相色谱法HPLC≥98%

【规格】5mg 10mg  20mg  50mg  100mg  500mg  1g   (可根据客户需求包装)

【鉴定方法】液相(HPLC)质谱(Mass) 核磁(NMR)

【密度】 1.4g/cm3

【用法】色谱条件:以乙腈:0.1%磷酸水溶液=50:50为流动相;检测波长为 203nm,柱温:30ºC(仅供参考)  

【药理药效】  重楼皂苷I具有抗炎,抗肿瘤,抗病毒,降低胆固醇,降血压等作用

【作用与用途】本品用于含量测定、鉴别、药理实验、活性筛选等

【注意事项】  本品应在低温下保存,长时间在暴露在空气中,含量会有所降低

【生产单位】  成都普菲德生物技术有限公司

【质量承诺】  非人为造成的产品质量问题,我司负责退货或者换货(非购买方人为造成)

【温馨提醒】  我司提供一切产品仅供科研、实验室使用,不得用于注射、食用或其他用途


  • 相关产品
  • 相关专题
  • 相关文献

    [1]. Kong M, et al. Effects of polyphyllin I on growth inhibition of human non-small lung cancer cells and in xenograft. Acta Biochim Biophys Sin (Shanghai). 2010 Nov;42(11):827-33.


    [2]. Liu J, et al. Polyphyllin I induces G2/M phase arrest and apoptosis in U251 human glioma cells via mitochondrial dysfunction and the JNK signaling pathway. Acta Biochim Biophys Sin (Shanghai). 2017 Jun 1;49(6):479-486.


    [3]. He J, et al. Polyphyllin I induces autophagy and cell cycle arrest via inhibiting PDK1/Akt/mTOR signal and downregulating cyclin B1 in human gastric carcinoma HGC-27 cells. Biomed Pharmacother. 2019 Sep;117:109189.


在线客服
联系方式

热线电话

028-82610909

上班时间

周一到周五

公司电话

028-82610909

二维码
线