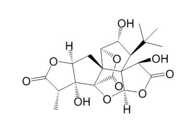
【产品名称】 银杏内酯J
【英文别称】 7beta-hydroxyginkgolide a
【CAS号】 107438-79-9
【检测方式】高效液相色谱法HPLC≥98%
【规格】5mg 10mg 20mg 50mg 100mg 500mg 1g (可根据客户需求包装)
【鉴定方法】液相(HPLC)质谱(Mass) 核磁(NMR)
【作用与用途】本品用于含量测定、鉴别、药理实验、活性筛选等
【密度】 1.64g/cm3
【沸点】 760.4ºC at 760 mmHg
【闪点】 273.6ºC
【用法】色谱条件:以A Methanol B 0.1% acetic acid solution,0min 25%A, 20min 50%A, ELSD, T=60℃ ,F=2.5L/min为流动相;柱温:30ºC(仅供参考)
【药理药效】 银杏内酯J具有降低,缓解和改善心肌缺血的作用
【注意事项】 本品应在低温下保存,长时间在暴露在空气中,含量会有所降低
【生产单位】 成都普菲德生物技术有限公司
【质量承诺】 非人为造成的产品质量问题,我司负责退货或者换货(非购买方人为造成)
【温馨提醒】 我司提供一切产品仅供科研、实验室使用,不得用于注射、食用或其他用途
 17-氢-9-去氢穿心莲内酯-3-硫酸酯钠
                17-氢-9-去氢穿心莲内酯-3-硫酸酯钠 17-氢-9-去氢穿心莲内酯-19-硫酸酯钠|1443513-92-5
                17-氢-9-去氢穿心莲内酯-19-硫酸酯钠|1443513-92-5 苦木素|76-78-8
                苦木素|76-78-8 松香酸|514-10-3
                松香酸|514-10-3 环黄芪苷II|215776-78-6
                 环黄芪苷II|215776-78-6 莱苞迪苷B|58543-17-2
                莱苞迪苷B|58543-17-2 鸦胆他宁|41451-76-7
                鸦胆他宁|41451-76-7 通光散苷A|920502-42-7
                通光散苷A|920502-42-7[1]. Ahlemeyer B, et al. Pharmacological studies supporting the therapeutic use of Ginkgo biloba extract for Alzheimer's disease. Pharmacopsychiatry. 2003 Jun; 36 Suppl 1:S8-14.
[2]. Sylvia Pietri, et al. Synthesis and Biological Studies of a New Ginkgolide C Derivative: Evidence That the Cardioprotective Effect of Ginkgolides Is Unrelated to PAF Inhibition. DRUG DEVELOPMENT RESEARCH. 2001.54:191-201.