全国咨询热线:028-82610909
当前位置: 主页 > 产品中心 > 化合物单体

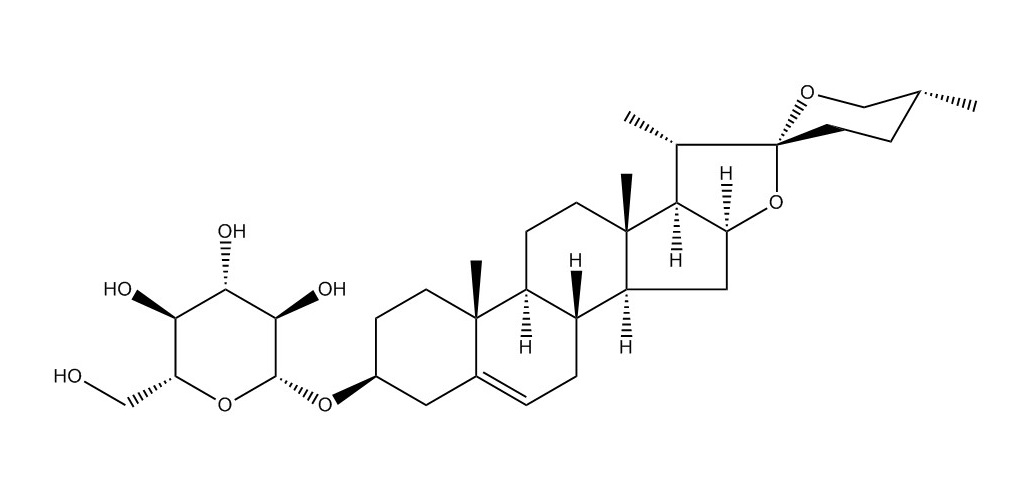
地索苷|14144-06-0

  • 【产品别名】延龄草苷
  • 【英文名】Diosgenin glucoside
  • 【分子式】C33H52O8
  • 【分子量】576.771
  • 【性状】白色粉末
  • 【化合物类型】甾体
  • 【来源】延龄草、白英、穿山龙
  • 【贮藏条件】2-8°C,密封避光、低温下保存
  • 【溶解性】可溶于甲醇、乙醇、DMSO等有机溶剂
品牌规格
货号品牌纯度价格规格库存
JOT-10215普菲德HPLC≥98%电议10mg点击咨询
JOT-10215普菲德HPLC≥98%60020mg点击咨询
产品介绍

【产品名称】 地索苷

【英文别称】 Trillin

【CAS号】  14144-06-0

【检测方式】高效液相色谱法HPLC≥98%

【规格】5mg 10mg  20mg  50mg  100mg  500mg  1g   (可根据客户需求包装)

【鉴定方法】液相(HPLC)质谱(Mass) 核磁(NMR)

【作用与用途】本品用于含量测定、鉴别、药理实验、活性筛选等

【密度】 1.278g/cm3

【沸点】 705.1ºC at 760mmHg

【熔点】 275-280ºC

【用法】色谱条件:以乙腈-0.5%醋酸水溶液(60:40) 为流动相;流速为 1.0mL/min; 蒸发光散射检测器检测(仅供参考)  

【药理药效】  地索苷具有抗肿瘤,降血脂的作用

【注意事项】  本品应在低温下保存,长时间在暴露在空气中,含量会有所降低

【生产单位】  成都普菲德生物技术有限公司

【质量承诺】  非人为造成的产品质量问题,我司负责退货或者换货(非购买方人为造成)

【温馨提醒】  我司提供一切产品仅供科研、实验室使用,不得用于注射、食用或其他用途


  • 相关产品
  • 相关专题
  • 相关文献

    [1]. Int Immunopharmacol. 2017 Sep;50:22-29. doi: 10.1016/j.intimp.2017.06.008. Epub 2017 Jun 14.


    [2]. Chen XB, et al. Diosgenin Glucoside Protects against Spinal Cord Injury by Regulating Autophagy and Alleviating Apoptosis. Int J Mol Sci. 2018 Aug 2;19(8). pii: E2274.


在线客服
联系方式

热线电话

028-82610909

上班时间

周一到周五

公司电话

028-82610909

二维码
线