全国咨询热线:028-82610909
当前位置: 主页 > 产品中心 > 化合物单体

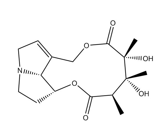
野百合碱|315-22-0

  • 【产品别名】响尾蛇毒蛋白
  • 【英文名】Monocrotaline
  • 【分子式】C16H23NO6
  • 【分子量】325.361
  • 【性状】白色粉末
  • 【化合物类型】生物碱
  • 【来源】猪屎豆、千里光
  • 【贮藏条件】2-8°C,避光保存、低温下保存
  • 【溶解性】甲醇、DMSO
品牌规格
货号品牌纯度价格规格库存
JOT-10128普菲德HPLC≥98%电议10mg点击咨询
JOT-10128普菲德HPLC≥98%30020mg点击咨询
产品介绍

【产品名称】 野百合碱

【英文别称】 Crotaline

【CAS号】  315-22-0

【检测方式】高效液相色谱法HPLC≥98%

【规格】5mg 10mg  20mg  50mg  100mg  500mg  1g   (可根据客户需求包装)

【鉴定方法】液相(HPLC)质谱(Mass) 核磁(NMR)

【作用与用途】本品用于含量测定、鉴别、药理实验、活性筛选等

【密度】 1.35g/cm3

【沸点】 537.3ºC at 760 mmHg

【闪点】 278.7ºC

【熔点】 204ºC

【用法】色谱条件:以乙腈: 三乙胺磷酸盐=3:97为流动相;检测波长为 205nm,柱温:30ºC(仅供参考)    

【药理药效】  野百合碱对多种肿瘤有抑制作用

【注意事项】  本品应在低温下保存,长时间在暴露在空气中,含量会有所降低

【生产单位】  成都普菲德生物技术有限公司

【质量承诺】  非人为造成的产品质量问题,我司负责退货或者换货(非购买方人为造成)

【温馨提醒】  我司提供一切产品仅供科研、实验室使用,不得用于注射、食用或其他用途


  • 相关产品
  • 相关专题
  • 相关文献

    [1]. Gomez-Arroyo JG, et al. The monocrotaline model of pulmonary hypertension in perspective. Am J Physiol Lung Cell Mol Physiol. 2012 Feb 15;302(4):L363-9.


    [2]. Kusuma SS, et al. Antineoplastic activity of monocrotaline against hepatocellular carcinoma. Anticancer Agents Med Chem. 2014;14(9):1237-48.


    [3]. Wilson DW, et, al. Mechanisms and pathology of monocrotaline pulmonary toxicity. Crit Rev Toxicol. 1992;22(5-6):307-25.


    [4]. Nogueira-Ferreira R, et al. Exploring the monocrotaline animal model for the study of pulmonary arterial hypertension: A network approach. Pulm Pharmacol Ther. 2015 Dec;35:8-16.


    [5]. Rafikova O,et al. Metabolic Changes Precede the Development of Pulmonary Hypertension in the Monocrotaline Exposed RatLung. PLoS One. 2016 Mar 3;11(3):e0150480.


在线客服
联系方式

热线电话

028-82610909

上班时间

周一到周五

公司电话

028-82610909

二维码
线