全国咨询热线:028-82610909
当前位置: 主页 > 产品中心 > 化合物单体

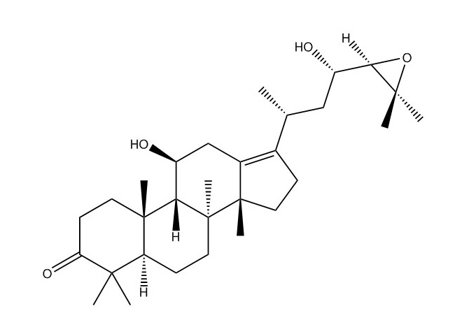
泽泻醇B|18649-93-9

  • 【产品别名】泽泻萜醇B
  • 【英文名】Alisol B
  • 【分子式】C30H48O4
  • 【分子量】472.70
  • 【性状】白色粉末
  • 【化合物类型】三萜
  • 【来源】泽泻
  • 【贮藏条件】2-8°C,密封避光、低温下保存
  • 【溶解性】可溶于乙腈、氯仿
品牌规格
货号品牌纯度价格规格库存
JOT-11837普菲德HPLC≥98%150020mg点击咨询
JOT-11837普菲德HPLC≥98%电议50mg点击咨询
产品介绍

【产品名称】 泽泻醇B

【英文别称】 (23S,24R)-24,25-Epoxy-11b,23-dihydroxy-8a,9b,14b-dammar-13(17)-en-3-one

【CAS号】  18649-93-9

【检测方式】高效液相色谱法HPLC≥98%

【规格】5mg 10mg  20mg  50mg  100mg  500mg  1g   (可根据客户需求包装)

【鉴定方法】液相(HPLC)质谱(Mass) 核磁(NMR)

【密度】 1.12g/cm3

【沸点】 575.1ºC at 760 mmHg

【闪点】 179.1ºC

【熔点】 166-168ºC

【用法】色谱条件:乙腈:0.1%磷酸水溶液=67:33;检测波长(Detection mode):208nm,柱温(Column temperature):30℃(仅供参考)

【药理药效】  泽泻醇 B具有降血脂及胆固醇,抗动脉粥样硬化的作用

【作用与用途】本品用于含量测定、鉴别、药理实验、活性筛选等

【注意事项】  本品应在低温下保存,长时间在暴露在空气中,含量会有所降低

【生产单位】  成都普菲德生物技术有限公司

【质量承诺】  非人为造成的产品质量问题,我司负责退货或者换货(非购买方人为造成)

【温馨提醒】  我司提供一切产品仅供科研、实验室使用,不得用于注射、食用或其他用途


  • 相关产品
  • 相关专题
  • 相关文献

    [1]. Zhang RF, et al.[Alisol B inhibited complement 3a-induced human renal tubular epithelial to mesenchymal transition]. Zhongguo Zhong Xi Yi Jie He Za Zhi. 2012 Oct;32(10):1407-12.


    [2]. Lee JW, et al. Alisol-B, a novel phyto-steroid, suppresses the RANKL-induced osteoclast formation and prevents bone loss in mice. Biochem Pharmacol. 2010 Aug 1;80(3):352-61.


    [3]. Law BY, et al. Alisol B, a novel inhibitor of the sarcoplasmic/endoplasmic reticulum Ca(2+) ATPase pump, induces autophagy, endoplasmic reticulum stress, and apoptosis. Mol Cancer Ther. 2010 Mar;9(3):718-30.


在线客服
联系方式

热线电话

028-82610909

上班时间

周一到周五

公司电话

028-82610909

二维码
线