全国咨询热线:028-82610909
当前位置: 主页 > 产品中心 > 化合物单体

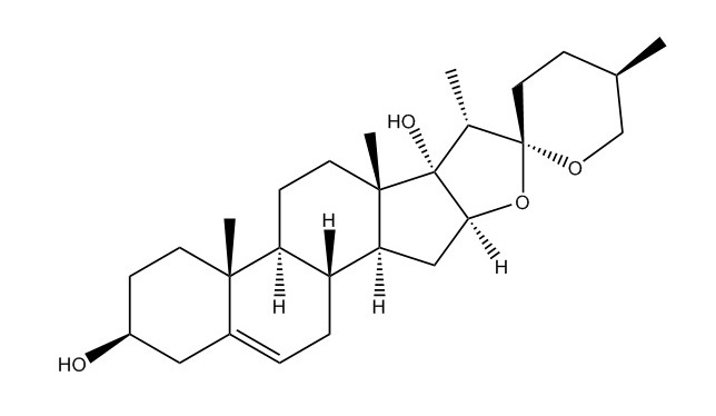
偏诺皂苷元|507-89-1

  • 【产品别名】偏诺皂苷元对照品;偏诺皂苷元标准品
  • 【英文名】Pennogenin
  • 【分子式】C27H42O4
  • 【分子量】430.62000
  • 【性状】白色粉末
  • 【化合物类型】甾体
  • 【来源】重楼
  • 【贮藏条件】2-8°C,密封避光、低温下保存
  • 【溶解性】可溶于DMSO
品牌规格
货号品牌纯度价格规格库存
JOT-11772普菲德HPLC≥98%150020mg点击咨询
JOT-11772普菲德HPLC≥98%电议50mg点击咨询
产品介绍

【产品名称】 偏诺皂苷元

【英文别称】 (25R)-Spirost-5-ene-3β,17-diol

【CAS号】  507-89-1

【检测方式】高效液相色谱法HPLC≥98%

【规格】5mg 10mg  20mg  50mg  100mg  500mg  1g   (可根据客户需求包装)

【鉴定方法】液相(HPLC)质谱(Mass) 核磁(NMR)

【密度】 1.18g/cm3

【沸点】 565.0ºC at 760 mmHg

【熔点】 247ºC

【药理药效】  偏诺皂苷元具有止血、祛痰、抑菌、镇痛等功效,用于功能性子宫出血、毒蛇咬伤、跌打损伤、无名肿痛等症的治疗

【作用与用途】本品用于含量测定、鉴别、药理实验、活性筛选等

【注意事项】  本品应在低温下保存,长时间在暴露在空气中,含量会有所降低

【生产单位】  成都普菲德生物技术有限公司

【质量承诺】  非人为造成的产品质量问题,我司负责退货或者换货(非购买方人为造成)

【温馨提醒】  我司提供一切产品仅供科研、实验室使用,不得用于注射、食用或其他用途


  • 相关产品
  • 相关专题
  • 相关文献
在线客服
联系方式

热线电话

028-82610909

上班时间

周一到周五

公司电话

028-82610909

二维码
线