全国咨询热线:028-82610909
当前位置: 主页 > 产品中心 > 化合物单体

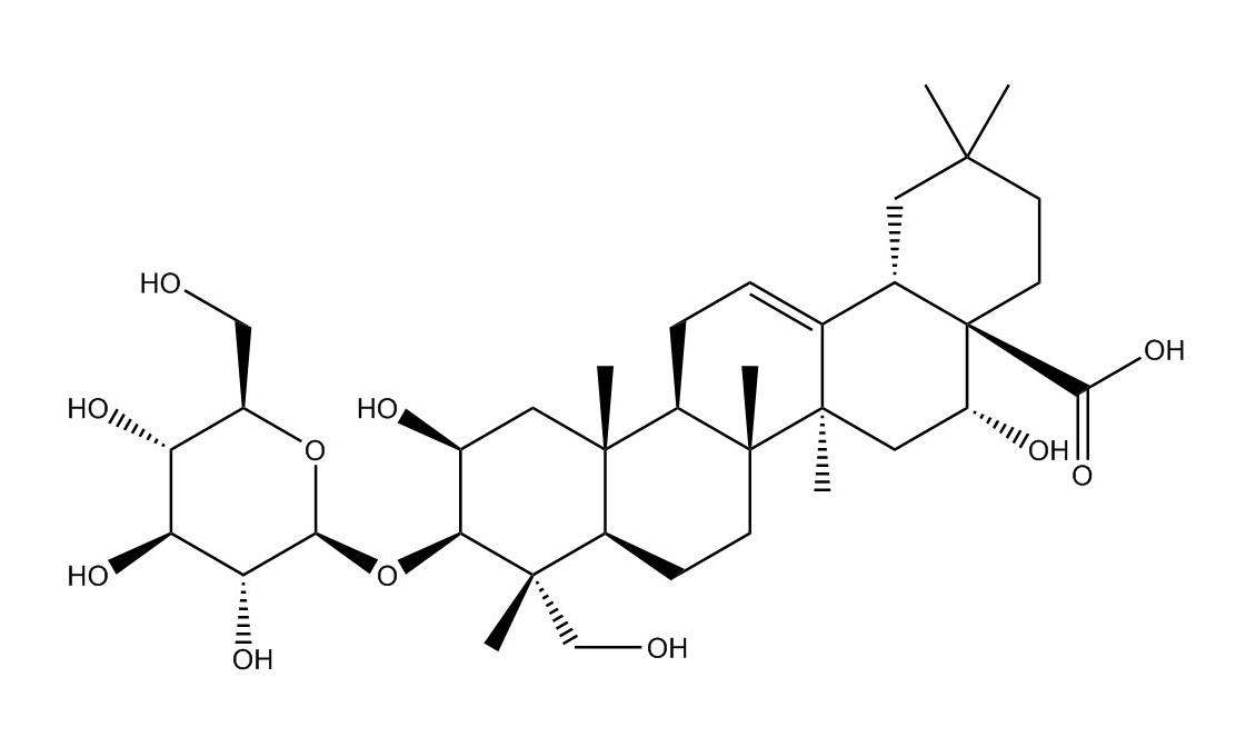
远志酸-3-O-β-D-吡喃葡萄糖苷|121368-52-3

  • 【产品别名】远志酸-3-O-Β-D-吡喃葡萄糖苷对照品
  • 【英文名】Bernardioside A
  • 【分子式】C36H58O11
  • 【分子量】666.849
  • 【性状】白色粉末
  • 【化合物类型】三萜
  • 【来源】远志
  • 【贮藏条件】2-8°C,密封避光、低温下保存
  • 【溶解性】可溶于甲醇、乙醇、DMSO
品牌规格
货号品牌纯度价格规格库存
JOT-11713普菲德HPLC≥98%电议10mg点击咨询
JOT-11713普菲德HPLC≥98%电议20mg点击咨询
产品介绍

【产品名称】 远志酸-3-O-β-D-吡喃葡萄糖苷

【英文别称】 3-O-beta-D-Glucopyranosyl polygalacic acid

【CAS号】  121368-52-3

【检测方式】高效液相色谱法HPLC≥98%

【规格】5mg 10mg  20mg  50mg  100mg  500mg  1g   (可根据客户需求包装)

【鉴定方法】液相(HPLC)质谱(Mass) 核磁(NMR)  

【密度】1.4±0.1 g/cm3

【沸点】817.0±65.0 °C at 760 mmHg

【闪点】249.7±27.8 °C

【作用与用途】本品用于含量测定、鉴别、药理实验、活性筛选等

【注意事项】  本品应在低温下保存,长时间在暴露在空气中,含量会有所降低

【生产单位】  成都普菲德生物技术有限公司

【质量承诺】  非人为造成的产品质量问题,我司负责退货或者换货(非购买方人为造成)

【温馨提醒】  我司提供一切产品仅供科研、实验室使用,不得用于注射、食用或其他用途


  • 相关产品
  • 相关专题
  • 相关文献

    [1]. Schöpke T, et al. Triterpenoid saponins from Bellis bernardii. J Nat Prod. 1996 Oct;59(10):939-43.


    [2]. Wang YM, et al. Isolation and Identification of Saponins from the Natural Pasturage Asterothamnus centrali-asiaticus Employing Preparative Two-Dimensional Reversed-Phase Liquid Chromatography/Hydrophilic Interaction Chromatography. J Agric Food Chem. 2016 Jun 22;64(24):4950-7.


在线客服
联系方式

热线电话

028-82610909

上班时间

周一到周五

公司电话

028-82610909

二维码
线